วันอังคารที่ 23 สิงหาคม พ.ศ. 2559


9 จำนวนจริง ตอนที่6เทคนิคการแก้อสมการ

  1. 1. คู่มือประกอบสื่อการสอน วิชาคณิตศาสตร์ เรื่อง จานวนจริง (เนื้อหาตอนที่ 6) เทคนิคการแก้อสมการ โดย ศาสตราจารย์ ดร.กฤษณะ เนียมมณี สื่อการสอนชุดนี้ เป็นความร่วมมือระหว่าง คณะวิทยาศาสตร์ จุฬาลงกรณ์มหาวิทยาลัย กับสานักงานคณะกรรมการการศึกษาขั้นพื้นฐาน (สพฐ.) กระทรวงศึกษาธิการ
  2. 2. คู่มือสื่อการสอนวิชาคณิตศาสตร์ โดยความร่วมมือระหว่าง สานักงานคณะกรรมการการศึกษาขั้นพื้นฐาน และ คณะวิทยาศาสตร์ จุฬาลงกรณ์มหาวิทยาลัย สื่อการสอน เรื่อง จานวนจริง สื่อการสอน เรื่อง จานวนจริง มีจานวนตอนทั้งหมดรวม 17 ตอน ซึ่งประกอบด้วย1. บทนา เรื่อง จานวนจริง2. เนื้อหาตอนที่ 1 สมบัติของจานวนจริง - ระบบจานวนจริง - สมบัติพื้นฐานของระบบจานวนจริง3. เนื้อหาตอนที่ 2 การแยกตัวประกอบ - การแยกตัวประกอบ4. เนื้อหาตอนที่ 3 ทฤษฎีบทตัวประกอบ - ทฤษฎีบทเศษเหลือ - ทฤษฎีบทตัวประกอบ5. เนื้อหาตอนที่ 4 สมการพหุนาม - สมการพหุนามดีกรีหนึ่ง - สมการพหุนามดีกรีสอง - สมการพหุนามดีกรีสูง - การประยุกต์สมการพหุนาม6. เนื้อหาตอนที่ 5 อสมการ - เส้นจานวนและช่วง - อสมการที่เกี่ยวข้องกับพหุนามดีกรีหนึ่ง - อสมการที่เกี่ยวข้องกับพหุนามดีกรีสูง7. เนื้อหาตอนที่ 6 เทคนิคการแก้อสมการ - อสมการในรูปเศษส่วน - การแก้อสมการโดยวิธีการยกกาลังสอง - การแก้อสมการโดยการแทนค่าตัวแปร - การประยุกต์โจทย์การแก้อสมการ8. เนื้อหาตอนที่ 7 ค่าสัมบูรณ์ - ค่าสัมบูรณ์ - สมการค่าสัมบูรณ์ 1
  3. 3. คู่มือสื่อการสอนวิชาคณิตศาสตร์ โดยความร่วมมือระหว่าง สานักงานคณะกรรมการการศึกษาขั้นพื้นฐาน และ คณะวิทยาศาสตร์ จุฬาลงกรณ์มหาวิทยาลัย 9. เนื้อหาตอนที่ 8 การแก้อสมการค่าสัมบูรณ์ - อสมการค่าสัมบูรณ์ - โจทย์ประยุกต์อสมการค่าสัมบูรณ์10. เนื้อหาตอนที่ 9 กราฟค่าสัมบูรณ์ - กราฟค่าสัมบูรณ์11. แบบฝึกหัด (พื้นฐาน 1)12. แบบฝึกหัด (พื้นฐาน 2)13. แบบฝึกหัด (พื้นฐาน 3)14. แบบฝึกหัด (ขั้นสูง)15. สื่อปฏิสัมพันธ์ เรื่อง ช่วงบนเส้นจานวน16. สื่อปฏิสัมพันธ์ เรื่อง สมการและอสมการพหุนาม (กาลังไม่เกินสี่)17. สื่อปฏิสัมพันธ์ เรื่อง กราฟค่าสัมบูรณ์ คณะผู้จัดทาหวังเป็นอย่างยิ่งว่า สื่อการสอนชุดนี้จะเป็นประโยชน์ต่อการเรียนการสอน สาหรับครู และนักเรียนทุกโรงเรียนที่ใช้สื่อชุดนี้ร่วมกับการเรียนการสอนวิชาคณิตศาสตร์ เรื่อง จานวนจริง นอกจากนี้หากท่านสนใจสื่อการสอนวิชาคณิตศาสตร์ในเรื่องอื่นๆที่คณะผู้จัดทาได้ ดาเนินการไปแล้ว ท่านสามารถดูชื่อเรื่อง และชื่อตอนได้จากรายชื่อสื่อการสอนวิชาคณิตศาสตร์ ทั้งหมดในตอนท้ายของคู่มือฉบับนี้ 2
  4. 4. คู่มือสื่อการสอนวิชาคณิตศาสตร์ โดยความร่วมมือระหว่าง สานักงานคณะกรรมการการศึกษาขั้นพื้นฐาน และ คณะวิทยาศาสตร์ จุฬาลงกรณ์มหาวิทยาลัยเรื่อง จานวนจริง (อสมการ)หมวด เนื้อหาตอนที่ 6 (6/9)หัวข้อย่อย 1. อสมการในรูปเศษส่วน 2. การแก้อสมการโดยวิธีการยกกาลังสอง 3. การแก้อสมการโดยการแทนค่าตัวแปร 4. การประยุกต์โจทย์การแก้อสมการจุดประสงค์การเรียนรู้เพื่อให้ผู้เรียน 1. เข้าใจขั้นตอนวิธีการหาคาตอบ และดาเนินการหาคาตอบของอสมการที่อยู่ในรูป เศษส่วน 2. เข้าใจขั้นตอนวิธีการหาคาตอบ และดาเนินการหาคาตอบของอสมการ โดยเทคนิคการ ยกกาลังสอง 3. เข้าใจขั้นตอนวิธีการหาคาตอบ และดาเนินการหาคาตอบของอสมการโดยเทคนิคการ แทนค่าตัวแปร 4. เข้าใจความเกี่ยวข้องของอสมการกับปัญหาในชีวิตประจาวัน และแก้ปัญหานั้นได้ผลการเรียนรู้ที่คาดหวังผู้เรียนสามารถ 1. อธิบายวิธีการแก้และแก้อสมการในรูปเศษส่วนได้ 2. อธิบายวิธีการแก้และแก้อสมการโดยวิธียกกาลังสองได้ 3. อธิบายวิธีการแก้และแก้อสมการโดยวิธีการแทนค่าตัวแปรได้ 4. อธิบายและยกตัวการประยุกต์การแก้อสมการในชีวิตประจาวันได้ 5. นาความรู้เรื่องสมบัติของจานวนจริง และเงื่อนไข มาใช้ในการแก้อสมการและ ตรวจสอบคาตอบ ทั้งเงื่อนไขของตัวส่วน และจานวนที่อยู่ในรูปกรณฑ์ที่สอง 3
  5. 5. คู่มือสื่อการสอนวิชาคณิตศาสตร์ โดยความร่วมมือระหว่างสานักงานคณะกรรมการการศึกษาขั้นพื้นฐาน และ คณะวิทยาศาสตร์ จุฬาลงกรณ์มหาวิทยาลัย เนื้อหาในสื่อการสอน เนื้อหาทั้งหมด 4
  6. 6. คู่มือสื่อการสอนวิชาคณิตศาสตร์ โดยความร่วมมือระหว่างสานักงานคณะกรรมการการศึกษาขั้นพื้นฐาน และ คณะวิทยาศาสตร์ จุฬาลงกรณ์มหาวิทยาลัย 1. อสมการในรูปเศษส่วน 5
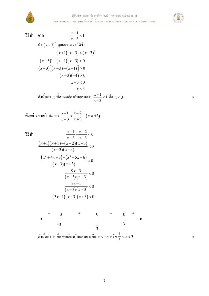
  7. 7. คู่มือสื่อการสอนวิชาคณิตศาสตร์ โดยความร่วมมือระหว่าง สานักงานคณะกรรมการการศึกษาขั้นพื้นฐาน และ คณะวิทยาศาสตร์ จุฬาลงกรณ์มหาวิทยาลัย 1.อสมการในรูปเศษส่วน ในสื่อตอนที่แล้วเราจะได้ศึกษาการแก้อสมการพื้นฐานไปแล้ว ในตอนนี้เราจะได้ศึกษาเทคนิคการแก้อสมการเพิ่มขึ้น โดยเทคนิคการแก้อสมการที่จะศึกษาในสื่อตอนนีคือการแก้อสมการที่อยู่ในรูปเศษส่วน อสมการ ้ที่ต้องยกกาลังสอง และการแก้อสมการโดยการแทนค่าตัวแปร ผู้สอนอาจยกตัวอย่างต่อไปนี้เพิ่มเติม x 1ตัวอย่าง จงแก้อสมการ 1  x  3 x3 6
  8. 8. คู่มือสื่อการสอนวิชาคณิตศาสตร์ โดยความร่วมมือระหว่าง สานักงานคณะกรรมการการศึกษาขั้นพื้นฐาน และ คณะวิทยาศาสตร์ จุฬาลงกรณ์มหาวิทยาลัย x 1วิธีทา จาก 1 x3 นา  x  32 คูณตลอด จะได้ว่า  x  1 x  3   x  3 2  x  3   x  1 x  3  0 2  x  3  x  3   x  1  0    x  3 4   0 x 3 0 x3 x 1 ดังนั้นค่า x ที่สอดคล้องกับอสมการ  1 คือ x  3 # x3 x 1 x  2ตัวอย่าง จงแก้อสมการ   x  3 x3 x3 x 1 x  2วิธีทา  0 x3 x3  x  1 x  3   x  2  x  3  0  x  3 x  3 x 2  4 x  3   x 2  5 x  6  0  x  3 x  3 9x  3 0  x  3 x  3 3x  1 0  x  3 x  3  3x  1 x  3 x  3  0  0 + 0  0 + 3 1 3 3 1 ดังนั้นค่า x ที่สอดคล้องกับอสมการคือ x  3 หรือ  x3 # 3 7
  9. 9. คู่มือสื่อการสอนวิชาคณิตศาสตร์ โดยความร่วมมือระหว่าง สานักงานคณะกรรมการการศึกษาขั้นพื้นฐาน และ คณะวิทยาศาสตร์ จุฬาลงกรณ์มหาวิทยาลัย x 2  x  3ตัวอย่าง จงแก้อสมการ  0  x  4  x4วิธีทา ข้อสังเกต x  0 เนื่องจากเมื่อแทนค่า x  0 ลงในอสมการแล้ว อสมการไม่เป็นจริง เมื่อ x0 ดังนั้นx 2  0 ทาให้เราสามารถนา x 2 หารตลอดอสมการได้ อสมการใหม่ที่ได้คือ x 3 0 x4  x  3 x  4   0 4  x  3 แต่ x0 ดังนั้นคาตอบของอสมการนี้โจทย์กาหนดคือ 4  x  0 หรือ 0  x  3 # จากตัวอย่างข้างต้น จะเห็นได้ว่าการแก้อสมการเป็นเรื่องที่ต้องมีความระมัดระวังเป็นอย่างยิ่ง 8
  10. 10. คู่มือสื่อการสอนวิชาคณิตศาสตร์ โดยความร่วมมือระหว่าง สานักงานคณะกรรมการการศึกษาขั้นพื้นฐาน และ คณะวิทยาศาสตร์ จุฬาลงกรณ์มหาวิทยาลัย แบบฝึกหัดเพิ่มเติม เรื่อง การแก้อสมการในรูปเศษส่วนจงแก้อสมการต่อไปนี้ 3 x x 1 1. 0 2. 4 x 1 x3 2  x2 2 x 3. 0 4. 0 x2 x2 5. x4  3  2x 6.  x  1 x  2  0 x x3 7.  x  1 x  2  0 8. x2  5 3 x 3 x 2 x4 9.  4x 10. 2 x5 x  3x  4 2 x 1 1 1 11. 1 12.   x  2 x  3 x2 x4 x 2 1 x 1 13.  14.  x 1 x  2 x3 x7 9
  11. 11. คู่มือสื่อการสอนวิชาคณิตศาสตร์ โดยความร่วมมือระหว่างสานักงานคณะกรรมการการศึกษาขั้นพื้นฐาน และ คณะวิทยาศาสตร์ จุฬาลงกรณ์มหาวิทยาลัย 2. การแก้อสมการโดยวิธีการยกกาลังสอง 10
  12. 12. คู่มือสื่อการสอนวิชาคณิตศาสตร์ โดยความร่วมมือระหว่าง สานักงานคณะกรรมการการศึกษาขั้นพื้นฐาน และ คณะวิทยาศาสตร์ จุฬาลงกรณ์มหาวิทยาลัย 2. การแก้อสมการโดยวิธีการยกกาลังสอง ในหัวข้อนี้ เราจะศึกษาเทคนิคการแก้อสมการโดยวิธียกกาลังสองตัวอย่าง จงแก้อสมการ x 2  3x  2  x 2  2 x  3วิธีทา เนื่องจาก x 2  2 x  3  0 และ x 2  3x  2  x 2  2 x  3 ดังนั้น x 2  3x  2  0 นั่นคือ  x  2 x  1  0 และ  x  3 x  1  0 x  2 หรือ x  1 ..... 1 และ x  1 หรือ x  3 ..........  2  2 1 3 11
  13. 13. คู่มือสื่อการสอนวิชาคณิตศาสตร์ โดยความร่วมมือระหว่าง สานักงานคณะกรรมการการศึกษาขั้นพื้นฐาน และ คณะวิทยาศาสตร์ จุฬาลงกรณ์มหาวิทยาลัย ดังนั้นค่า x ที่สอดคล้องกับ 1 และ  2 คือ x  2 หรือ x  3 ..........  3 จาก x2  3x  2  x2  2 x  3 และ  0 จะได้ว่า x 2  3x  2  x 2  2 x  3 5x  5 x  1 ........... 4 เนื่องจาก x ต้องสอดคล้องทั้ง  3 และ  4 จึงได้ว่า x3 #ในบางครั้ง โจทย์อสมการมีเครื่องหมาย อาจไม่จาเป็นต้องยกกาลังสองเสมอไป ดังตัวอย่างต่อไปนี้ 1ตัวอย่าง จงแก้อสมการ x 1  2 x 1วิธีทา ข้อสังเกต พิจารณาค่า x ซึ่ง x 1  0 เท่านั้น ดังนั้น x  1 1 จาก x 1  2 x 1 นา x 1 คูณตลอด จะได้ว่า  x  1  1  2 x 1  x  1  2 x 1 1  0   2 x 1 1  0 เนื่องจาก   มีค่ามากกว่าหรือเท่ากับศูนย์เสมอ 2 x  1 1 ดังนั้นทุกค่า x  x  1 จะสอดคล้องกับอสมการ  x  1  1 เสมอ 2 0 เพราะฉะนั้นค่า x ที่สอดคล้องกับอสมการคือ x  1 # 12
  14. 14. คู่มือสื่อการสอนวิชาคณิตศาสตร์ โดยความร่วมมือระหว่าง สานักงานคณะกรรมการการศึกษาขั้นพื้นฐาน และ คณะวิทยาศาสตร์ จุฬาลงกรณ์มหาวิทยาลัย แบบฝึกหัดเพิ่มเติม เรื่อง การแก้อสมการโดยวิธีการยกกาลังสอง1. x 1  x 1 2. x2  2 x  1  13. x  2  3x  6 4. x 1  x 1 15. x2  x2 5 6.  x2 x2 27. 2x  3  x  2 8.  x 1 x 1 19. x2  8x  7  x2  8x  12 10.  x 1 2 1  x  2x2 13
  15. 15. คู่มือสื่อการสอนวิชาคณิตศาสตร์ โดยความร่วมมือระหว่างสานักงานคณะกรรมการการศึกษาขั้นพื้นฐาน และ คณะวิทยาศาสตร์ จุฬาลงกรณ์มหาวิทยาลัย 3. การแก้อสมการโดยการแทนค่าตัวแปร 14
  16. 16. คู่มือสื่อการสอนวิชาคณิตศาสตร์ โดยความร่วมมือระหว่าง สานักงานคณะกรรมการการศึกษาขั้นพื้นฐาน และ คณะวิทยาศาสตร์ จุฬาลงกรณ์มหาวิทยาลัย 3. การแก้อสมการโดยการแทนค่าตัวแปร ในหัวข้อนี้เราจะศึกษาเทคนิคการแก้อสมการโดยการแทนค่าตัวแปรตัวอย่าง จงแก้อสมการ 5  x  22   2 x  3  5 x  1  2 1วิธีทา ให้ y   x  1 5 จากตัวอย่างที่ผ่านมาจะได้ว่า y2  y  2 y2  y  2  0  y  2  y  1  0 1  y  2 1 นั่นคือ 1   x  1 5  2 1 1 และ  x  15  2 1   x  1 5 1  x  1 และ x  1  25 2  x และ x  31 ดังนั้นค่า x ที่สอดคล้องกับอสมการที่โจทย์กาหนดคือ x   2,31 #ตัวอย่าง จงแก้อสมการ  x  12  3  2 x 1  3  2 x2วิธีทา เพราะว่า  x  12  3  2 x  1  x 2  4 x  4   x  2 2 ดังนั้น  x  1  3  2 x  1  3  2 x  2 2 15
  17. 17. คู่มือสื่อการสอนวิชาคณิตศาสตร์ โดยความร่วมมือระหว่าง สานักงานคณะกรรมการการศึกษาขั้นพื้นฐาน และ คณะวิทยาศาสตร์ จุฬาลงกรณ์มหาวิทยาลัย  x  2  2 x 2 3 0 2ให้ y x  2 จะได้ว่า y2  2 y  3  0  y  3 y  1  0 1  y  3นั่นคือ 1  x2 3แต่ x  2  0 เสมอ ดังนัน ้ 0 x2 3 0 x2 9 2 x  11 ..........(1)แต่ x2 0 นั่นคือ x  2 ..........(2)จาก 1 และ  2 จะได้ว่า 2  x  11 # 16
  18. 18. คู่มือสื่อการสอนวิชาคณิตศาสตร์ โดยความร่วมมือระหว่าง สานักงานคณะกรรมการการศึกษาขั้นพื้นฐาน และ คณะวิทยาศาสตร์ จุฬาลงกรณ์มหาวิทยาลัยตัวอย่าง จงแก้อสมการ 22 x 2  9  2  x  2วิธีทา 22 x 2  9  2   2 x 4  2x   9  2  2  0 2 x ให้ y  2x ดังนั้น 4 y2  9 y  2  0  4 y  1 y  2   0 1  y2 4 1 นั่นคือ  2x  2 4 22  2 x  21 2  x  1 # แบบฝึกหัดเพิ่มเติม เรื่อง การแก้อสมการโดยการแทนค่าตัวแปรจงแก้อสมการ 4 1. 2x  5  2x 2. x2  4 x  4  2  x  2 3. 5 x2  4 x  4  6  5 x  2 4. 32 x 1  3  10  3x  5.  x  3  4  x  4  x  5  2 2 17
  19. 19. คู่มือสื่อการสอนวิชาคณิตศาสตร์ โดยความร่วมมือระหว่างสานักงานคณะกรรมการการศึกษาขั้นพื้นฐาน และ คณะวิทยาศาสตร์ จุฬาลงกรณ์มหาวิทยาลัย 4. การประยุกต์โจทย์การแก้อสมการ 18
  20. 20. คู่มือสื่อการสอนวิชาคณิตศาสตร์ โดยความร่วมมือระหว่าง สานักงานคณะกรรมการการศึกษาขั้นพื้นฐาน และ คณะวิทยาศาสตร์ จุฬาลงกรณ์มหาวิทยาลัย 4. การประยุกต์โจทย์การแก้อสมการ แบบฝึกหัดเพิ่มเติม เรื่อง การประยุกต์โจทย์การแก้อสมการ1. ต้องการเชิญแขกมางานเลี้ยง ไม่น้อยกว่า 500 แต่ไม่เกิน 700 คน โดยจัดเลี้ยงโต๊ะจีน โต๊ะละ 10 คน ต้อง จองโต๊ะน้อยที่สุดกี่ชุดถึงสามารถมั่นใจได้ว่าแขกทุกคนมีที่นั่ง2. สี่เหลี่ยมผืนผ้ามีด้านยาว 20 เซนติเมตร และมีพื้นที่ไม่น้อยกว่า 400 ตารางเซนติเมตร แล้วสี่เหลี่ยมมีความ กว้างน้อยที่สุดกี่เซนติเมตร 19
  21. 21. คู่มือสื่อการสอนวิชาคณิตศาสตร์ โดยความร่วมมือระหว่างสานักงานคณะกรรมการการศึกษาขั้นพื้นฐาน และ คณะวิทยาศาสตร์ จุฬาลงกรณ์มหาวิทยาลัย สรุปสาระสาคัญประจาตอน 20
  22. 22. คู่มือสื่อการสอนวิชาคณิตศาสตร์ โดยความร่วมมือระหว่างสานักงานคณะกรรมการการศึกษาขั้นพื้นฐาน และ คณะวิทยาศาสตร์ จุฬาลงกรณ์มหาวิทยาลัย สรุปสาระสาคัญประจาตอน 21
  23. 23. คู่มือสื่อการสอนวิชาคณิตศาสตร์ โดยความร่วมมือระหว่างสานักงานคณะกรรมการการศึกษาขั้นพื้นฐาน และ คณะวิทยาศาสตร์ จุฬาลงกรณ์มหาวิทยาลัย ภาคผนวกที่ 1 แบบฝึกหัด/เนื้อหาเพิ่มเติม 22
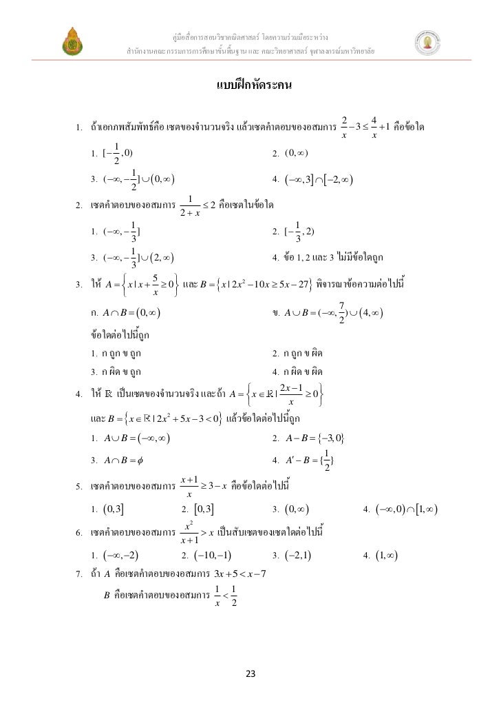
  24. 24. คู่มือสื่อการสอนวิชาคณิตศาสตร์ โดยความร่วมมือระหว่าง สานักงานคณะกรรมการการศึกษาขั้นพื้นฐาน และ คณะวิทยาศาสตร์ จุฬาลงกรณ์มหาวิทยาลัย แบบฝึกหัดระคน 2 41. ถ้าเอกภพสัมพัทธ์คือ เซตของจานวนจริง แล้วเซตคาตอบของอสมการ  3  1 คือข้อใด x x 1 1. [  , 0) 2. (0,  ) 2 1 3. ( ,  ]   0,   4.  ,3   2,   2 12. เซตคาตอบของอสมการ 2 คือเซตในข้อใด 2 x 1 1 1. ( ,  ] 2. [  , 2) 3 3 3. (,  1 ]   2,   4. ข้อ 1, 2 และ 3 ไม่มีข้อใดถูก 33. ให้ A   x | x  5  0   และ B   x | 2 x 2  10 x  5 x  27 พิจารณาข้อความต่อไปนี้  x  7 ก. A  B   0,   ข. A  B  (, )   4,   2 ข้อใดต่อไปนี้ถูก 1. ก ถูก ข ถูก 2. ก ถูก ข ผิด 3. ก ผิด ข ถูก 4. ก ผิด ข ผิด  2x 1 4. ให้ เป็นเซตของจานวนจริง และถ้า A  x  |  0  x  และ B   x  | 2 x 2  5 x  3  0 แล้วข้อใดต่อไปนี้ถูก 1. A  B   ,   2. A  B  3,0 1 3. A B  4. A  B  { } 2 x 15. เซตคาตอบของอสมการ  3 x คือข้อใดต่อไปนี้ x 1.  0,3 2. 0,3 3.  0,   4.  ,0  1,   x26. เซตคาตอบของอสมการ  x เป็นสับเซตของเซตใดต่อไปนี้ x 1 1.  , 2 2.  10, 1 3.  2,1 4. 1, 7. ถ้า A คือเซตคาตอบของอสมการ 3x  5  x  7 1 1 B คือเซตคาตอบของอสมการ  x 2 23
  25. 25. คู่มือสื่อการสอนวิชาคณิตศาสตร์ โดยความร่วมมือระหว่าง สานักงานคณะกรรมการการศึกษาขั้นพื้นฐาน และ คณะวิทยาศาสตร์ จุฬาลงกรณ์มหาวิทยาลัย แล้ว A  B เท่ากับช่วงในข้อใดต่อไปนี้ 1.  6,0 2. (2,  ) 3.  ,0   2,   4.  6,0   2,   2 2x 18. ให้ A เป็นเซตคาตอบของอสมการ  แล้วข้อใดต่อไปนี้ถูกต้อง x2 4 5  137 5  137 ก. ( 7 , )  A ข. A  ( , ) 4 4 4 1. ก ถูก ข ถูก 2. ก ถูก ข ผิด 3. ก ผิด ข ถูก 4. ก ผิด ข ผิด9. ให้ A   x | 22 x  2 x 1  23  0 และ  B  x | 2x  2  x  2  1  ข้อใดถูกต้อง 1. A  B 2. B A 3. A  B   4. A B   2 110. ให้ A เป็นเซตคาตอบของอสมการ  ข้อใดต่อไปนี้ถูก x2 x 1 1. A  2. A   2,10 3. A   1, 2    2,   4. A   2,   24
  26. 26. คู่มือสื่อการสอนวิชาคณิตศาสตร์ โดยความร่วมมือระหว่างสานักงานคณะกรรมการการศึกษาขั้นพื้นฐาน และ คณะวิทยาศาสตร์ จุฬาลงกรณ์มหาวิทยาลัย ภาคผนวกที่ 2 เฉลยแบบฝึกหัด 25
  27. 27. คู่มือสื่อการสอนวิชาคณิตศาสตร์ โดยความร่วมมือระหว่าง สานักงานคณะกรรมการการศึกษาขั้นพื้นฐาน และ คณะวิทยาศาสตร์ จุฬาลงกรณ์มหาวิทยาลัย เฉลยแบบฝึกหัดเพิมเติม ่ เรื่อง การแก้อสมการในรูปเศษส่วน 111. 1  x  3 2.   x  3 33. x  2 หรือ  2  x  2 4. x   25. x  2 หรือ 0  x  1 6. x  3 หรือ 2  x  17. 1  x  2 หรือ x  3 8. x0 5  27 5  27 19.  x  5 หรือ x 10. x หรือ x  1 2 2 211. x  3 หรือ x  2 12. x  4 หรือ x  213. 2  x   2 หรือ 1  x  2 14. 7  x  4 หรือ 3  x  1 เฉลยแบบฝึกหัดเพิมเติม ่ เรื่อง การแก้อสมการโดยวิธียกกาลังสอง1. 1  x  2 2. 2  x  03. x  4 4. x  05. ไม่มีค่า x ที่สอดคล้องอสมการ 6. 2  x  17. ไม่มีค่า x ที่สอดคล้องอสมการ 8. 0  x  19. x  1 หรือ x  7 10. ไม่มีค่า x ที่สอดคล้องอสมการ เฉลยแบบฝึกหัดเพิมเติม ่ เรื่อง การแก้อสมการโดยการแทนค่าตัวแปร1. x0 หรือ x2 2. x33. 241  x  34 4. 1  x  15. 5 x9 26
  28. 28. คู่มือสื่อการสอนวิชาคณิตศาสตร์ โดยความร่วมมือระหว่าง สานักงานคณะกรรมการการศึกษาขั้นพื้นฐาน และ คณะวิทยาศาสตร์ จุฬาลงกรณ์มหาวิทยาลัย เฉลยแบบฝึกหัดเพิมเติม ่ เรื่อง การประยุกต์โจทย์การแก้อสมการ1. อย่างมาก 70 ชุด 2. อย่างน้อย 20 ซ.ม. เฉลยแบบฝึกหัดระคน1. 3 2. 4 3. 4 4. 1 5. 36. 3 7. 4 8. 2 9. 1 10. 4 27
  29. 29. คู่มือสื่อการสอนวิชาคณิตศาสตร์ โดยความร่วมมือระหว่างสานักงานคณะกรรมการการศึกษาขั้นพื้นฐาน และ คณะวิทยาศาสตร์ จุฬาลงกรณ์มหาวิทยาลัย รายชื่อสื่อการสอนวิชาคณิตศาสตร์ จานวน 92 ตอน 28
  30. 30. คู่มือสื่อการสอนวิชาคณิตศาสตร์ โดยความร่วมมือระหว่าง สานักงานคณะกรรมการการศึกษาขั้นพื้นฐาน และ คณะวิทยาศาสตร์ จุฬาลงกรณ์มหาวิทยาลัย รายชื่อสื่อการสอนวิชาคณิตศาสตร์ จานวน 92 ตอน เรื่อง ตอนเซต บทนา เรื่อง เซต ความหมายของเซต เซตกาลังและการดาเนินการบนเซต เอกลักษณ์ของการดาเนินการบนเซตและแผนภาพเวนน์-ออยเลอร์ สื่อปฏิสัมพันธ์เรื่องแผนภาพเวนน์-ออยเลอร์การให้เหตุผลและตรรกศาสตร์ บทนา เรื่อง การให้เหตุผลและตรรกศาสตร์ การให้เหตุผล ประพจน์และการสมมูล สัจนิรันดร์และการอ้างเหตุผล ประโยคเปิดและวลีบงปริมาณ ่ สื่อปฏิสัมพันธ์เรื่องหอคอยฮานอย สื่อปฏิสัมพันธ์เรื่องตารางค่าความจริงจานวนจริง บทนา เรื่อง จานวนจริง สมบัติของจานวนจริง การแยกตัวประกอบ ทฤษฏีบทตัวประกอบ สมการพหุนาม อสมการ เทคนิคการแก้อสมการ ค่าสัมบูรณ์ การแก้อสมการค่าสัมบูรณ์ กราฟค่าสัมบูรณ์ สื่อปฏิสัมพันธ์เรื่องช่วงบนเส้นจานวน สื่อปฏิสัมพันธ์เรื่องสมการและอสมการพหุนาม สื่อปฏิสัมพันธ์เรื่องกราฟค่าสัมบูรณ์ทฤษฎีจานวนเบื้องต้น บทนา เรื่อง ทฤษฎีจานวนเบื้องต้น การหารลงตัวและจานวนเฉพาะ (การหารลงตัวและตัววคูณร่วมมาก) ตัวหารร่วมมากและตั หารร่ มน้อยความสัมพันธ์และฟังก์ชัน บทนา เรื่อง ความสัมพันธ์และฟังก์ชัน ความสัมพันธ์ 29
  31. 31. คู่มือสื่อการสอนวิชาคณิตศาสตร์ โดยความร่วมมือระหว่าง สานักงานคณะกรรมการการศึกษาขั้นพื้นฐาน และ คณะวิทยาศาสตร์ จุฬาลงกรณ์มหาวิทยาลัย เรื่อง ตอนความสัมพันธ์และฟังก์ชัน โดเมนและเรนจ์ อินเวอร์สของความสัมพันธ์และบทนิยามของฟังก์ชัน ฟังก์ชันเบื้องต้น พีชคณิตของฟังก์ชัน อินเวอร์สของฟังก์ชันและฟังก์ชันอินเวอร์ส ฟังก์ชันประกอบฟังก์ชันชีกาลังและฟังก์ชันลอการิทึม ้ บทนา เรื่อง ฟังก์ชันชี้กาลังและฟังก์ชันลอการิทึม เลขยกกาลัง ฟังก์ชันชีกาลังและฟังก์ชันลอการิทึม ้ ลอการิทึม อสมการเลขชี้กาลัง อสมการลอการิทึมตรีโกณมิติ บทนา เรื่อง ตรีโกณมิติ อัตราส่วนตรีโกณมิติ เอกลักษณ์ของอัตราส่วนตรีโกณมิติ และวงกลมหนึ่งหน่วย ฟังก์ชันตรีโกณมิติ 1 ฟังก์ชันตรีโกณมิติ 2 ฟังก์ชันตรีโกณมิติ 3 กฎของไซน์และโคไซน์ กราฟของฟังก์ชันตรีโกณมิติ ฟังก์ชันตรีโกณมิติผกผัน สื่อปฏิสัมพันธ์เรื่องมุมบนวงกลมหนึงหน่วย ่ สื่อปฏิสัมพันธ์เรื่องกราฟของฟังก์ชันตรีโกณมิติ สื่อปฏิสัมพันธ์เรื่องกฎของไซน์และกฎของโคไซน์กาหนดการเชิงเส้น บทนา เรื่อง กาหนดการเชิงเส้น การสร้างแบบจาลองทางคณิตศาสตร์ การหาค่าสุดขีดลาดับและอนุกรม บทนา เรื่อง ลาดับและอนุกรม ลาดับ การประยุกต์ลาดับเลขคณิตและเรขาคณิต ลิมิตของลาดับ ผลบวกย่อย อนุกรม ทฤษฎีบทการลู่เข้าของอนุกรม 30
  32. 32. คู่มือสื่อการสอนวิชาคณิตศาสตร์ โดยความร่วมมือระหว่าง สานักงานคณะกรรมการการศึกษาขั้นพื้นฐาน และ คณะวิทยาศาสตร์ จุฬาลงกรณ์มหาวิทยาลัย เรื่อง ตอนการนับและความน่าจะเป็น บทนา เรื่อง การนับและความน่าจะเป็น . การนับเบื้องต้น การเรียงสับเปลี่ยน การจัดหมู่ ทฤษฎีบททวินาม การทดลองสุ่ม ความน่าจะเป็น 1 ความน่าจะเป็น 2สถิติและการวิเคราะห์ข้อมูล บทนา เรื่อง สถิติและการวิเคราะห์ข้อมูล บทนา เนื้อหา แนวโน้มเข้าสู่ส่วนกลาง 1 แนวโน้มเข้าสู่ส่วนกลาง 2 แนวโน้มเข้าสู่ส่วนกลาง 3 การกระจายของข้อมูล การกระจายสัมบูรณ์ 1 การกระจายสัมบูรณ์ 2 การกระจายสัมบูรณ์ 3 การกระจายสัมพัทธ์ คะแนนมาตรฐาน ความสัมพันธ์ระหว่างข้อมูล 1 ความสัมพันธ์ระหว่างข้อมูล 2 โปรแกรมการคานวณทางสถิติ 1 โปรแกรมการคานวณทางสถิติ 2โครงงานคณิตศาสตร์ การลงทุน SET50 โดยวิธีการลงทุนแบบถัวเฉลี่ย ปัญหาการวางตัวเบี้ยบนตารางจัตุรัส การถอดรากที่สาม เส้นตรงล้อมเส้นโค้ง กระเบื้องที่ยืดหดได้ 31

ไม่มีความคิดเห็น:

แสดงความคิดเห็น